Описание плиты ПАГ-20
Плиты аэродромные железобетонные (ПАГ-20) ГОСТ 25912.0-91 применяются для устройства покрытий аэродромов, взлетно-посадочных полос, рулежных дорожек и других объектов, требующих высокой прочности и устойчивости к динамическим нагрузкам. Изделия изготавливаются из высокопрочного бетона с армированием стальной арматурой, что обеспечивает их прочность, устойчивость к нагрузкам и долговечность.
Применение плиты ПАГ-20
Плита ПАГ-20 используется как элемент для строительства покрытий аэродромов, взлетно-посадочных полос, рулежных дорожек и других объектов, где требуется повышенная прочность и устойчивость к динамическим нагрузкам. Она служит важной частью системы, обеспечивающей равномерное распределение нагрузки, защиту от деформаций и долговечность конструкции. Для монтажа могут применяться дополнительные элементы: раствор, закладные детали и другие комплектующие.
Типы плит
Плиты аэродромные железобетонные подразделяются на несколько типов в зависимости от размеров и назначения:
- ПАГ: плита аэродромная гладкая;
- ПАБ: плита аэродромная бортовая;
- ПАД: плита аэродромная доборная;
- ПАУ: плита аэродромная усиленная.
Размеры зависят от типа: длина 6000–12000 мм, ширина 2000–3000 мм, высота 200–300 мм.
Основные параметры, размеры и характеристики
- Длина, мм: 6000
- Ширина, мм: 2000
- Высота, мм: 200
- Масса, тонн: 6
- Объем бетона, м³: 2,4
- Геометрический объем, м³: 2,4
- Расход стали, кг: 237,9
Дополнительные характеристики
- Класс бетона: В25 (марка М350)
- Марка по морозостойкости: F200–F300
- Марка по водонепроницаемости: W6–W8
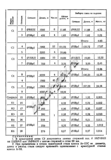
- Закладные детали:
- Сетка С3 (усиление конструкции);
- Сетка С5 (усиление конструкции);
- Монтажно-стыковые изделия М3 (монтажный элемент);
- Монтажно-стыковые изделия М4а (монтажный элемент).
- Технология изготовления: вибропрессование или формование с использованием высокопрочного бетона.
Нормы загрузки
- Норма загрузки в автотранспорт 20 т, шт: 3
Документы
- Нормативный документ: ГОСТ 25912.0-91
Расшифровка маркировки ПАГ-20
Маркировка "ПАГ-20" содержит следующую информацию:
- ПАГ – плита аэродромная гладкая;
- 20 – типоразмер изделия (высота плиты в сантиметрах).
Условия транспортировки и хранения
Плиты ПАГ-20 перевозятся автомобильным или железнодорожным транспортом с использованием специальных захватных устройств (строп). Хранение осуществляется на ровных площадках с твердым покрытием. Плиты устанавливаются горизонтально в штабель высотой не более 2,5 м. Для предотвращения повреждений между изделиями устанавливаются деревянные прокладки.
Контроль качества плиты ПАГ-20
Каждая плита ПАГ-20 проходит многоступенчатый контроль качества в соответствии с ГОСТ 25912.0-91. Проверяются:
- прочность бетона (не ниже класса В25);
- соответствие геометрических размеров проектным данным;
- качество армирования (наличие арматурного каркаса, толщина защитного слоя бетона);
- морозостойкость и водонепроницаемость бетона;
- точность расположения закладных элементов;
- отсутствие трещин, сколов и других дефектов.
Заключение
Плита ПАГ-20 – надежный и долговечный элемент для устройства покрытий аэродромов, взлетно-посадочных полос и других объектов, требующих высокой прочности и устойчивости к динамическим нагрузкам. Благодаря строгому соблюдению требований ГОСТ 25912.0-91 и использованию качественных материалов, она обеспечивает прочность, устойчивость и долговечность конструкций. Для заказа качественных железобетонных плит обращайтесь к производителям с сертификатами соответствия и опытом работы в сфере ЖБИ.
Смотрите также:
| Варианты написания товара |
|---|
| Плита ПАГ-20 |
| ПАГ-20 плита |
| Плита ПАГ20 |
| ПАГ20 плита |
| ПАГ-20 |
| ПАГ20 |
| Плита ПАГ-20 ГОСТ 25912.0-91 |
| ПАГ-20 ГОСТ 25912.0-91 |
| ПАГ20 ГОСТ 25912.0-91 |
|
ГОСТ/Серия
|
ГОСТ 25912.0-91 |
|
Длина, мм
|
6000 |
|
Ширина, мм
|
2000 |
|
Высота, мм
|
200 |
|
Масса, тонн
|
6 |
|
Объем бетона, куб.м
|
2.4 |
|
Класс бетона
|
В25 |
|
Геометрический объем, м.куб
|
2.4 |
|
Сталь, кг
|
237.9 |
|
Закладная 1
|
Сетка С3 |
|
Закладная 2
|
Сетка С5 |
|
Закладная 3
|
Монтажно-стыковые изделия М3 |
|
Закладная 4
|
Монтажно-стыковые изделия М4а |
Как купить
Процесс покупки железобетонных изделий у нас прост и удобен. Следуйте этим шагам:
- Выбор продукции: Ознакомьтесь с нашим ассортиментом и выберите необходимые железобетонные изделия.
- Консультация: Свяжитесь с нашим менеджером для получения консультации по выбору продукции и уточнения всех деталей. Вы можете позвонить нам или написать на электронную почту.
- Оформление заказа: После согласования всех деталей оформите заказ. Менеджер поможет вам заполнить все необходимые документы.
- Согласование доставки: После оформления заказа наш менеджер свяжется с вами для согласования условий и сроков доставки.
- Оплата: Выберите удобный способ оплаты. Мы предлагаем несколько вариантов, включая безналичный расчет.
- Получение товара: После выполнения всех условий заказа, вы получите железобетонные изделия в назначенное время и по согласованному адресу. При получении подпишите акт приема-передачи.
Если у вас возникли вопросы на любом этапе покупки, не стесняйтесь обращаться к нашим менеджерам!
Оплата
Мы принимаем только безналичные платежи и работаем исключительно с юридическими лицами. Пожалуйста, ознакомьтесь с условиями оплаты ниже:
- Способ оплаты: Все расчеты производятся безналичным путем. Мы не принимаем наличные.
- Счет на оплату: После оформления заказа вам будет выставлен счет, который необходимо оплатить в срок, указанный в документе.
- Реквизиты: Все необходимые банковские реквизиты будут предоставлены в счете. Убедитесь, что все данные указаны правильно для успешного перевода.
- Подтверждение оплаты: После осуществления платежа отправьте нам подтверждение, чтобы мы могли оперативно обработать ваш заказ.
- Получение документов: После полной оплаты вы получите все необходимые документы, включая акт выполненных работ, товарные накладные и сертификаты на продукцию.
Мы работаем с НДС и предоставляем все необходимые сертификаты и документы. Все гарантии будут прописаны в договоре, что обеспечивает прозрачность и надежность сотрудничества.
Если у вас есть вопросы по поводу процесса оплаты, не стесняйтесь обращаться к нашим менеджерам за помощью!
Наша оперативность — ваше удобство. Мы гарантируем своевременную доставку железобетонных изделий, что является ключевым фактором для успешной реализации ваших строительных проектов. Доставка осуществляется прямо к вашему объекту с учетом всех стандартов качества.
Основные условия доставки:
• Выбор тарифа: Вы можете выбрать способ расчета стоимости доставки — почасовой или по зонам.
• Согласование: Менеджер свяжется с вами для уточнения деталей после оформления заказа.
• Время на погрузку: Комплектация товара занимает от 1 до 3 дней в зависимости от объема.
• Акт приема-передачи: Продукция передается по акту приема-передачи.
Тарифы на доставку:
Цены варьируются в зависимости от расстояния и региона. Все тарифы включают НДС. При неблагоприятных погодных условиях возможны небольшие изменения в стоимости.
География доставки:
Мы работаем по всей территории РФ и имеем 12 офисов и производств, чтобы обеспечить удобные условия для доставки.
Для точного расчета стоимости доставки обращайтесь к нашим менеджерам!

